为了便于比较,把单流水线普通标量处理机的指令级并行度记作(1,1),超标量处理机的指令级并行度记作(m,1),超流水线处理机的指令级并行度记作(1,n),而超标量超流水线处理机的指令级并行度记作(m,n)。 在理想情况下,N条指令在单流水线普通标量处理机上的执行时间为: |
![]() |
其中,k是流水线的级数,Dt是一个时钟周期的时间长度。 如果把相同的N条指令在一台每个时钟周期发射m条指令的超标量处理机上执行,所需要的时间为: |
![]() |
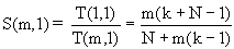
其中,第一项是第一批m条指令同时通过m条指令流水线所需要的执行时间,而第二项是执行其余N-m条指令所需要的时间,这时,每一个时钟周期有m条指令分别通过m条指令流水线。 因此,超标量处理机相对于单流水线普通标量处理机的加速比为: |
![]() |
当N→∞时,在没有资源冲突,没有数据相关和控制相关的理想情况下,超标量处理机的加速比的最大值为: |
![]() |