在一台指令级并行度为(m,n)的超标量超流水线处理机上,连续执行N条指令所需要的时间为: |
![]() |
其中,k是指令流水线的时钟周期数,而不是流水线级数。上式中的第一项是执行开始m条指令所需要的时间,第二项是执行其余N-m条指令所需要的时间,这时,每一个时钟周期执行完成m
n条指令,也就是每一个流水线周期执行完成m条指令。 超标量超流水线处理机相对于单流水线标量处理机的加速比为: |
![]() |
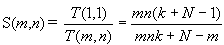
当执行的指令条数N→∞时,在理想情况下,超标量超流水线处理机相对于单流水线普通标量处理机的加速比的最大值为: |
![]() |