由上可以看出,信号f(t)在时域中沿时间轴右移(延时)t0等效于在频域中频谱乘以因子 ,也就是说,信号右移后,其幅度谱不变,而其相位谱却产生了附加相位变化(- t0),各频谱分量的相位落后 t0。同理,若信号f(t)在时域中沿时间轴左移(超前)t0等效于在频域中频谱乘以因子
,这时,其相位谱也产生了附加相位变化( t0),各频谱分量的相位超前wt0。
2.7.7 频移
由上可见,若信号f(t)乘以因子 ,等效于f(t)的频谱F( )沿频率轴右移 0。也就是说,在频域中将频谱沿频率轴右移 0等效于在时域中信号乘以因子 。同样,若信号f(t)乘以因子 ,等效于f(t)的频谱F( )沿频率轴左移 0。
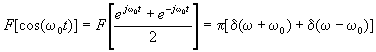
例2.5 已知f(t)=cos( 0),利用频移定理求余弦信号的频谱。
解:因为F[1]=2 ( )
,则由频移定理得

利用欧拉公式和FT的线性,可得

同理可得sin( 0t)的傅里叶变换,请同学们自己试着做做看。
|